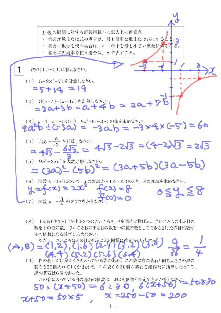
令和7年度 福岡県立高等学校入学者選抜学力検査問題 数学 問題 1

投稿者プロフィール
最新の投稿
お知らせ03/16/2025令和7年度 福岡県立高等学校入学者選抜学力検査問題 数学 問題 1
お知らせ03/16/2025令和7年度 福岡県立高等学校入学者選抜学力検査問題 数学 問題 2
お知らせ03/16/2025令和7年度 福岡県立高等学校入学者選抜学力検査問題 数学 問題 3
お知らせ03/16/2025令和7年度 福岡県立高等学校入学者選抜学力検査問題 数学 問題 4
成績UP 合格GET
